Curvas IDF

Meteorológicas:

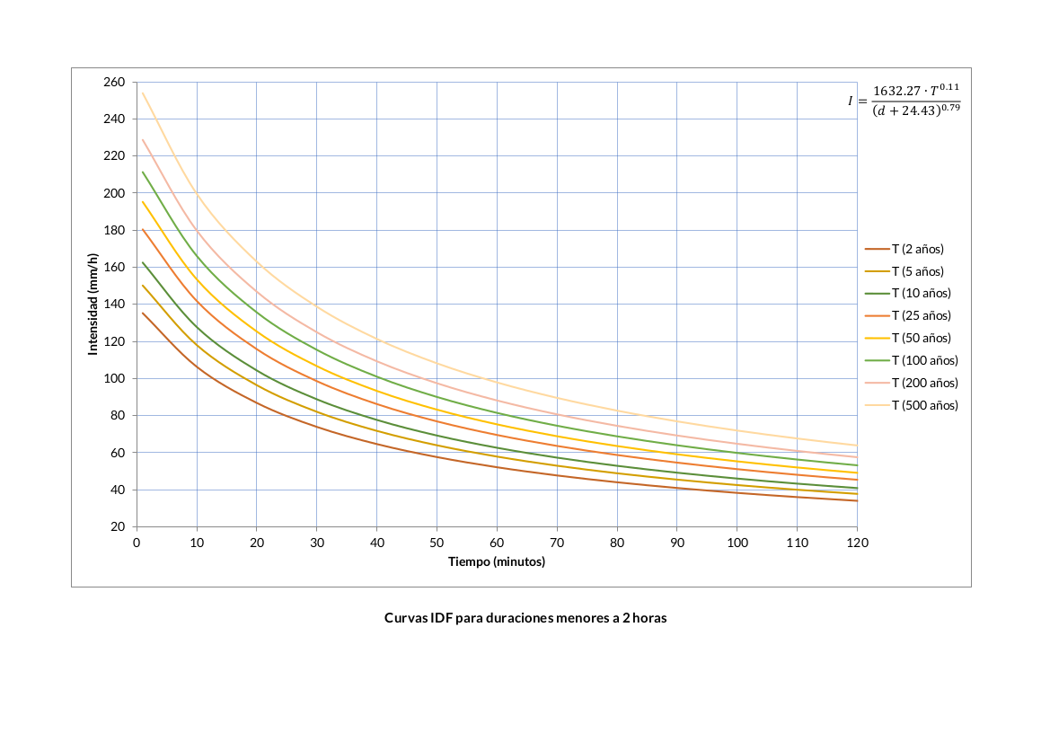
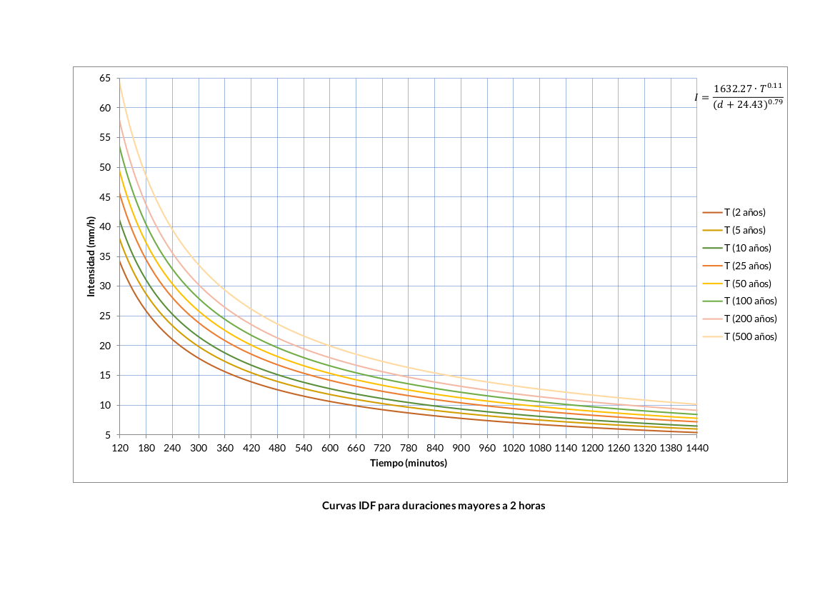
El estudio de la precipitación, su distribución y evolución temporal son motivos de interés para la realización de proyectos de diseño hidrológico. Generalmente la metodología más utilizada es mediante las curvas IDF que permiten definir la tormenta de diseño en base a la relación entre la intensidad de la lluvia, la duración y la recurrencia que permitiría, luego de la transformación lluvia-caudal, diseñar una obra civil en el sitio de interés.

El diseño de la familia de curvas IDF muchas veces se ve limitada por la escasa disponibilidad de datos pluviográficos, tanto en lo referente a la cobertura espacial de las estaciones como en la longitud insuficiente de los registros (Bertoni, 2003).

El presente trabajo se realizó en el marco de una Pasantía de Investigación (Resolución CD Nº 289/15) y tuvo por objetivo actualizar las curvas IDF del Centro de Informaciones Meteorológicas (CIM) “Lic. Enrique B. Rodríguez”, perteneciente a la Facultad de Ingeniería y Ciencias Hídricas de la Universidad Nacional del Litoral (FICH–UNL), que culminó en el año 2016.

Se determinó la ecuación de las curvas IDF por el método dado por Sherman pudiéndose verificar que la intensidad de precipitación decrece cuando aumenta la duración y para una misma duración, la intensidad aumenta con el periodo de retorno. Por otro lado, las intensidades menores e iguales a 10 minutos superan los 100 mm/h para todas las recurrencias.

Las curvas IDF determinadas para la estación del CIM presentan intensidades de lluvia menores a las definidas para las localidades de Rafaela y Paraná, verificándose que las diferencias porcentuales se incrementan a medida que aumenta la recurrencia.

Descargar PDF


Este trabajo fue presentado en el XIII Congreso Argentino de Meteorología (CONGREMET), realizado el 16 al 19 de octubre de 2018, en Rosario, Santa Fe, Argentina (modalidad póster).

Ver trabajo

Artículo aprobado y publicado por el Consejo Revisor por la Revista CUADERNOS DEL CURIHAM - Centro Universitario Rosario de Investigaciones Hidroambientales - Facultad de Ciencias Exactas, Ingeniería y Agrimensura - Universidad Nacional de Rosario: (ISSN 1514-2906 Impresa – ISSN 2683-8168 En línea: Vol.25, pp. 41-57, diciembre de 2019.

https://doi.org/10.35305/curiham.v25i0.118

Arriba